• Предмет: Алгебра
  • Автор: ancen1923
  • Вопрос задан 8 лет назад

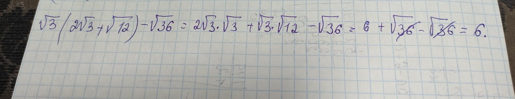
√3 (2 √3+ √12) - √36

Ответы

Ответ дал: evgeniya1309
1

Объяснение:

если помогла отметь пожалуйста как лучший ответ

Приложения:
Ответ дал: romaaanova
0

ОТВЕТ:6

корень3(2* корень3+2* корень 3)-6

корень3*4корень3-6

3*4-6

12-6

6

Вас заинтересует