Ответы
Ответ дал:
2
Ответ:
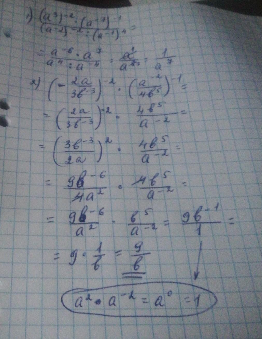
Смотри решение на фото ниже
Приложения:

larisaserova53:
то, что в кружочке не пиши, это я написала откуда взялась единица
Вас заинтересует
2 года назад
2 года назад
3 года назад
8 лет назад
8 лет назад