• Предмет: Алгебра
  • Автор: milanaoster4
  • Вопрос задан 8 лет назад

Пожалуйста HELP
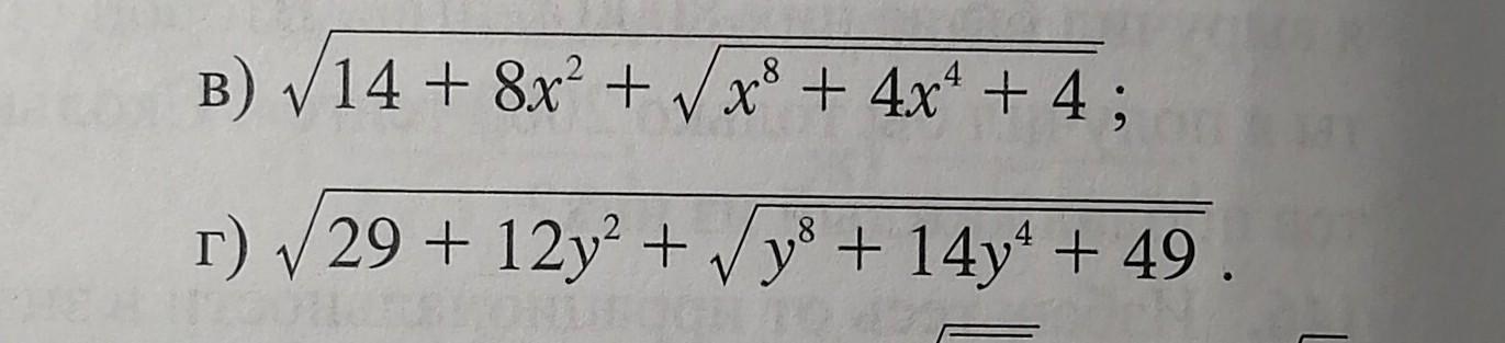
Номер 151.Упростите выражение ​

Приложения:

akoldybaev040: какой класс

Ответы

Ответ дал: Universalka
1

1) \ \sqrt{14+8x^{2} +\sqrt{x^{8} +4x^{4} +4} } = \sqrt{14+8x^{2} +\sqrt{(x^{4}+2)^{2} } } =\\\\\\=\sqrt{14+8x^{2} +x^{4} +2} =\sqrt{x^{4} +8x^{2} +16} =\sqrt{(x^{2} +4)^{2} } =\boxed{x^{2} +4}

2) \ \sqrt{29+12y^{2} +\sqrt{y^{8} +14y^{4} +49} } =\sqrt{29+12y^{2} +\sqrt{(y^{4} +7)^{2} } } =\\\\\\=\sqrt{29+12y^{2} +y^{4}+7 } =\sqrt{y^{4} +12y^{2}+36 } }=\sqrt{(y^{2} +6)^{2} } =\boxed{y^{2} +6}

Вас заинтересует