• Предмет: Алгебра
  • Автор: leshenca61
  • Вопрос задан 7 лет назад

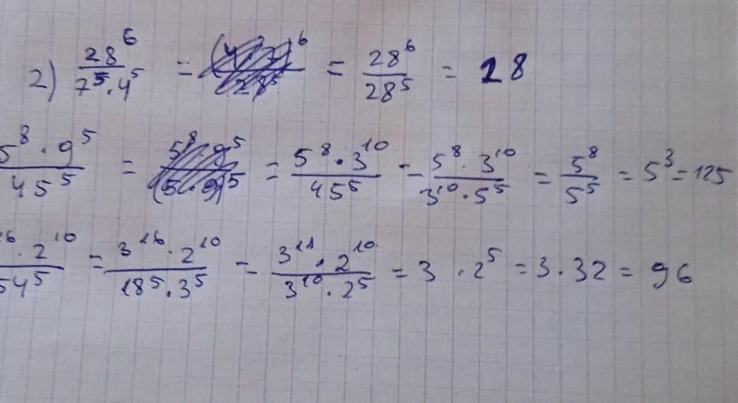
Хееелп даю 30 задание 64 делать только 2 3 и 4​

Приложения:

leshenca61: пж хелллп

Ответы

Ответ дал: crocodil951
1

Объяснение:

не видно немного условие, но думаю, что всё понятно

Приложения:
Вас заинтересует