Ответы
Ответ дал:
0
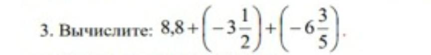
Ответ на фото.........
Приложения:

Ответ дал:
0
Пошаговое объяснение:
ответ на фото ✓✓✓✓✓✓✓✓✓
Приложения:

Вас заинтересует
2 года назад
2 года назад
3 года назад
3 года назад
8 лет назад
8 лет назад
9 лет назад
9 лет назад