• Предмет: Алгебра
  • Автор: Аноним
  • Вопрос задан 8 лет назад

помогите, пожалуйста!
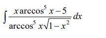
Вычислить интеграл.

Приложения:

Ответы

Ответ дал: NNNLLL54
1

Ответ:

\displaystyle \int \frac{x\cdot arccos^5x-5}{arccos^5x\cdot \sqrt{1-x^2}}\, dx=\int \frac{x\cdot arccos^5x}{arccos^5x\cdot \sqrt{1-x^2}}\, dx-\int \frac{5\, dx}{arccos^5x\cdot \sqrt{1-x^2}}=\\\\\\=-\frac{1}{2}\int \frac{d\, (1-x^2)}{\sqrt{1-x^2}}+5\int (arccosx)^{-5}\cdot d\, (arccosx)=\\\\\\=-\frac{1}{2}\cdot 2\sqrt{1-x^2}+5\cdot \frac{(arccosx)^{-4}}{-4}+C=-\sqrt{1-x^2}-\frac{5}{4\, arccos^4x}+C

Вас заинтересует