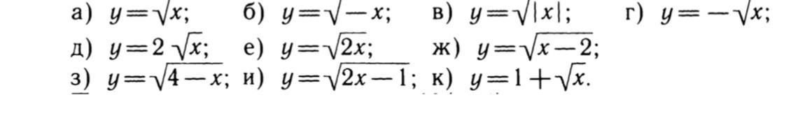
Ответы
Ответ дал:
1
Ответ:ЗА ТАКУЮ РАБОТУ ЭТО ОЧЕНЬ МАЛО!!!!!! ВСЕГО 5 БАЛЛОВ!?
Я ПОМОГУ, НО СОРЯН НЕ ВСЕ
ЭТО УЖ СЛИШКОМ
ДЕРЖИ 5 ЗА 5
Объяснение:
Приложения:

Вас заинтересует
2 года назад
3 года назад
3 года назад
8 лет назад
8 лет назад
9 лет назад
9 лет назад