• Предмет: Геометрия
  • Автор: maganovvlad13
  • Вопрос задан 8 лет назад

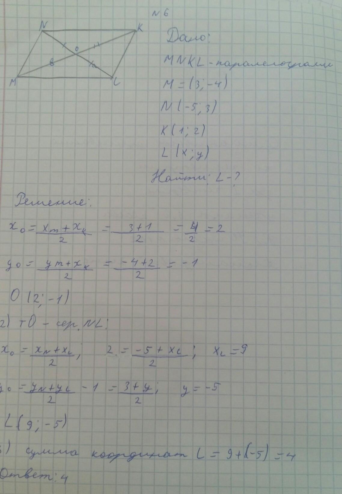
6. Решите задачу. Дан параллелограмм вершинами М(3;-4), N(-5;3), K(1;2),L(x;y).
Найдите сумму координат вершины L.

Пожалуйста дам 90 баллов оооочень нужно. ​

Ответы

Ответ дал: ealmamedova20
1

Ответ:

ответ на фото, отметьте лучшим

Приложения:
Вас заинтересует