Ответы
Ответ дал:
1
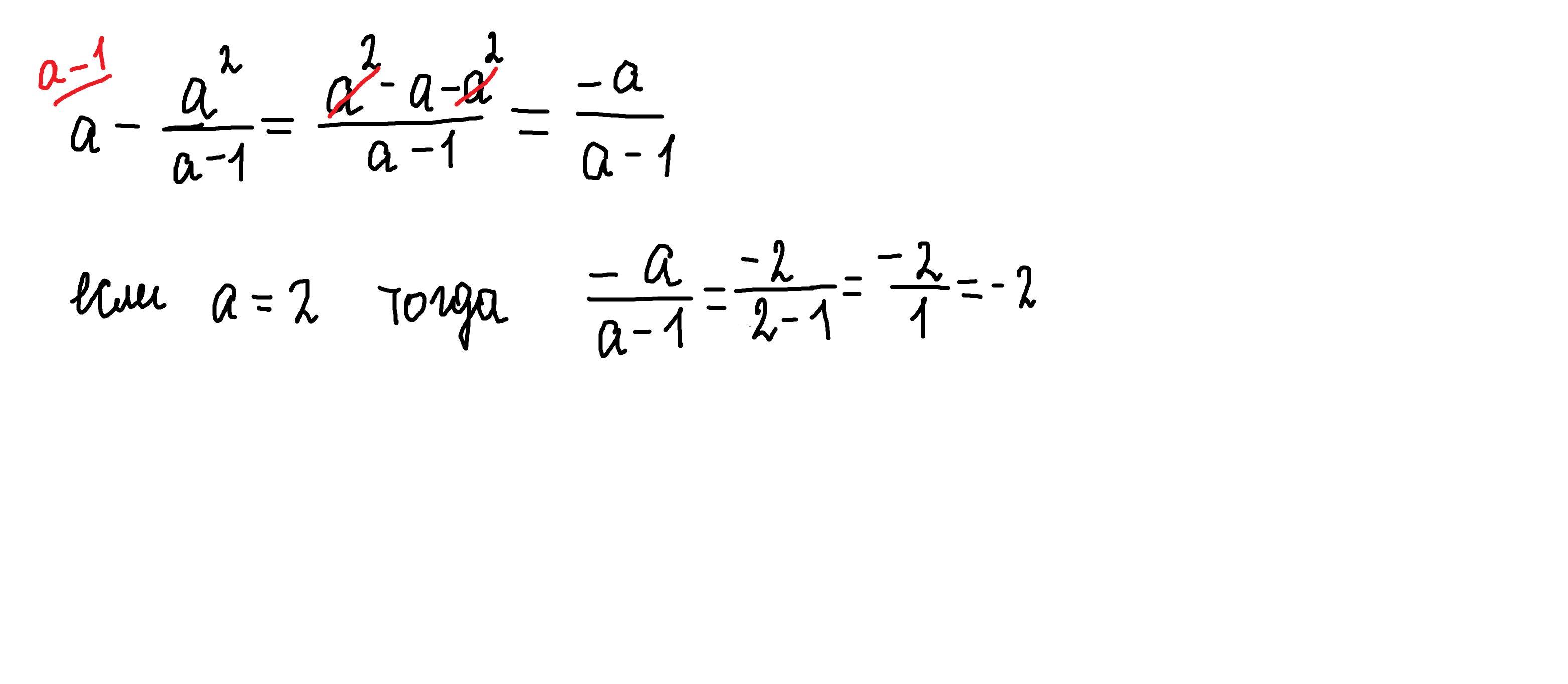
Ответ:
-2
Объяснение:
решение внизу
Приложения:

ssfwhkaa:
можешь помочь со вторым? я выложила вопрос
Вас заинтересует
2 года назад
2 года назад
3 года назад
3 года назад
8 лет назад
8 лет назад
9 лет назад
9 лет назад