• Предмет: Алгебра
  • Автор: comarad
  • Вопрос задан 8 лет назад

Завтра сдача! Помогите!
Упростите выражения:

Приложения:

Sanya2263: Сейчас постараюсь решить.

Ответы

Ответ дал: Sanya2263
2

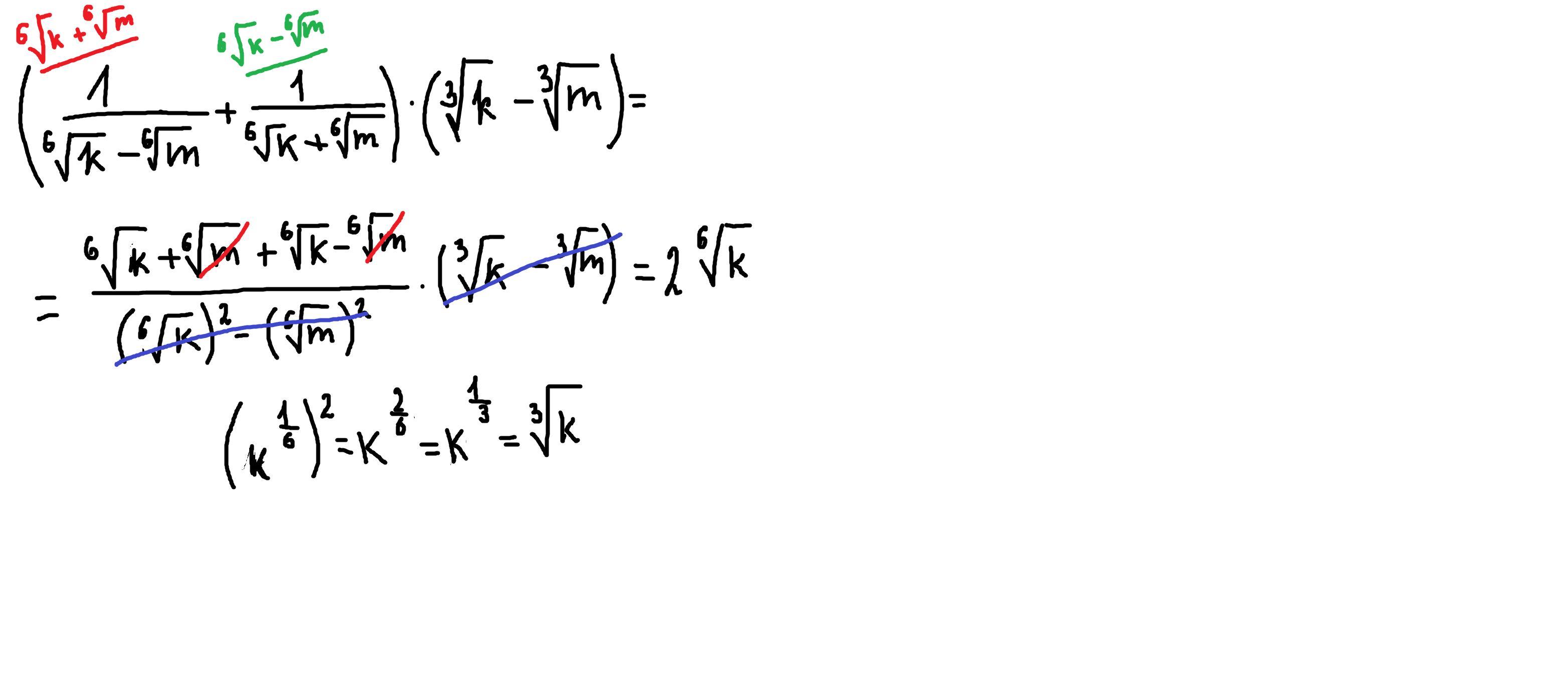
Ответ на файле, прикреплённом ниже.

Приложения:
Ответ дал: parus77
2

Ответ:

Объяснение:

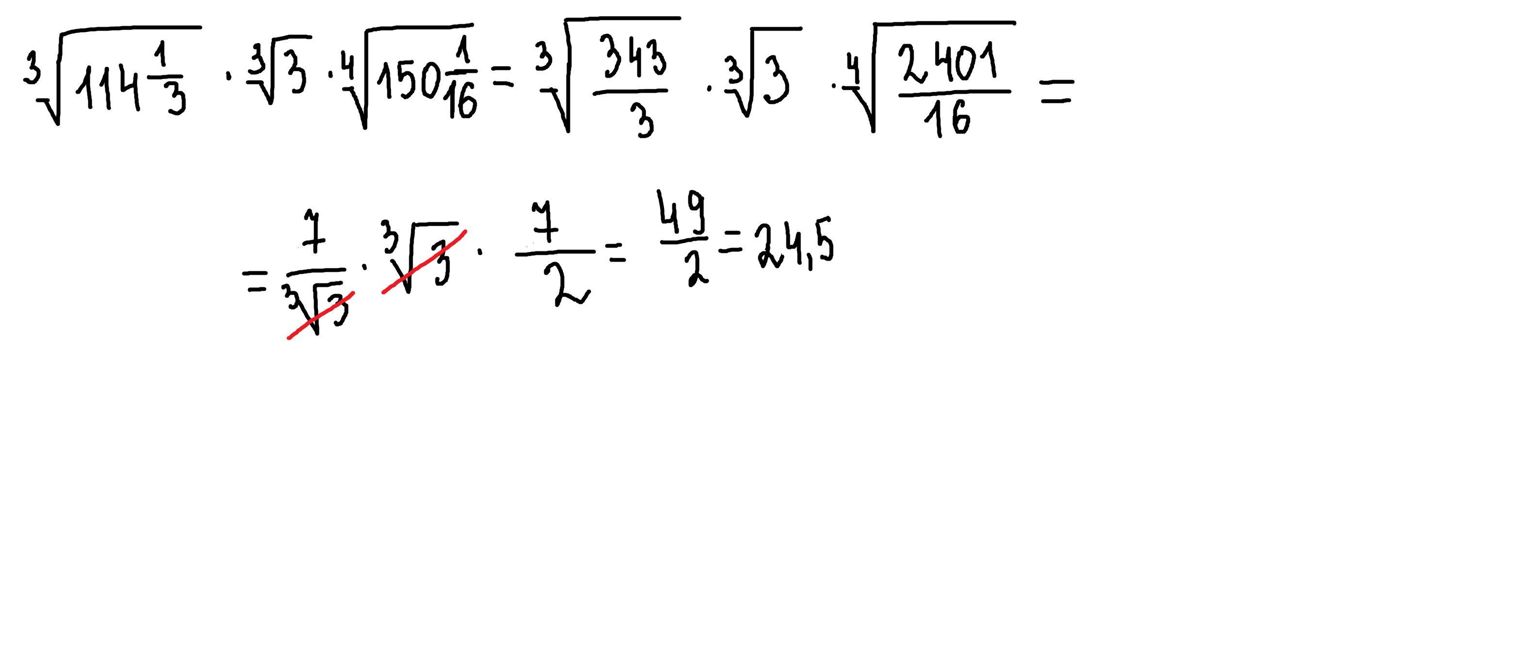
решение внизу

Приложения:
Вас заинтересует