• Предмет: Алгебра
  • Автор: Аноним
  • Вопрос задан 7 лет назад

Решите пожалуйста, пожалуйстааааа!!!

Приложения:

Ответы

Ответ дал: parus77
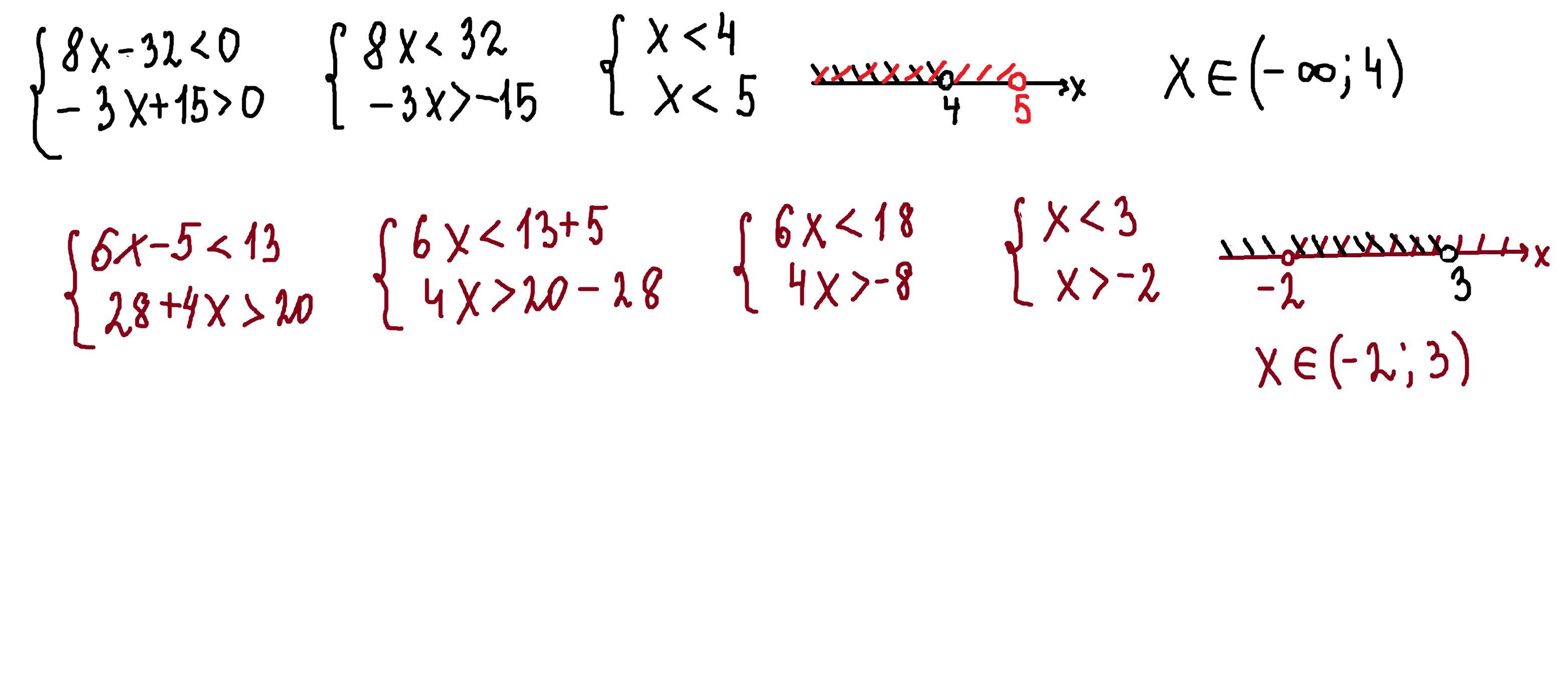
1

Ответ:

Объяснение:

решение смотри внизу

Приложения:

Аноним: Решите ещё пожалуйста, я вас прошу
Аноним: У меня ещё есть вопросы
parus77: уже 2 часа ночи,спать хочу,извини.
Аноним: Завтра решите пожалуйста
Аноним: Помогите решить задания, пожалуйста
Вас заинтересует