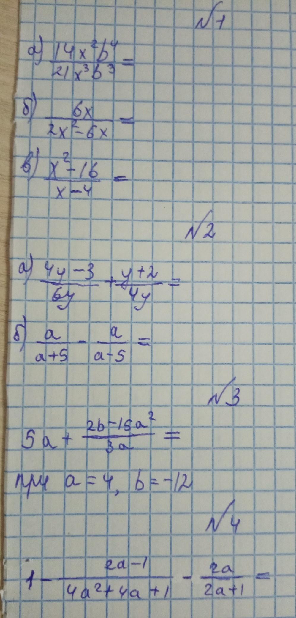
Помогите пожалуйста, алгебра 8 класс 1 кр 1 вар
, в г.д.з нету если найдёте пришлите фото учубника
Приложения:

Ответы
Ответ дал:
0
Ответ:
Используйте приложение Photomath
Объяснение:
Вводите такие примеры и он все решит и даже объяснит, почему получился такой ответ
Вас заинтересует
3 года назад
3 года назад
8 лет назад
9 лет назад
9 лет назад