• Предмет: Математика
  • Автор: thegamerprotv4p5l5vo
  • Вопрос задан 7 лет назад

Решите пожалуйста, очень надо (надо полное объяснение)

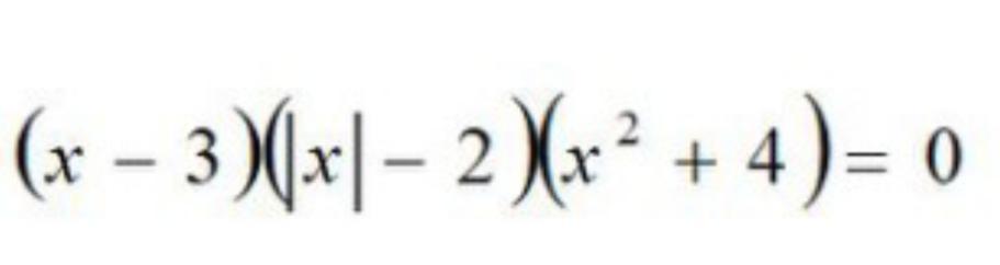
Приложения:

Ответы

Ответ дал: konstantinsnastin
2

Ответ:

Пошаговое объяснение:

При перемножении трёх чисел получается 0. Значит одно из чисел = 0 (или несколько). Тогда есть з варианта:

1) х - 3 = 0 и тогда х = 3

2) х квадрат + 4 = 0 и тогда х = 2 или х = -2

3) модуль х - 2 = 0 и тогда х = 2 или х = -2

А это значит, что х может быть равен: 3, 2 или -2

Если моё решение оказалось верным, я бы хотел Вас попросить отметить мой ответ как лучший, а так же оставить отзыв о качестве моей работы (каким бы он ни был). Рад был оказать Вам помощь)

Вас заинтересует
9 лет назад