Ответы
Ответ дал:
0
Решение:
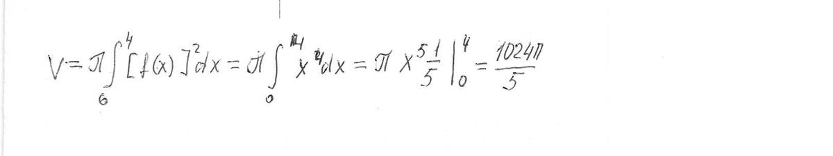
Смотри вложение:............
Смотри вложение:............
Приложения:

Вас заинтересует
2 года назад
2 года назад
8 лет назад
8 лет назад
10 лет назад
10 лет назад