• Предмет: Алгебра
  • Автор: loYco
  • Вопрос задан 7 лет назад

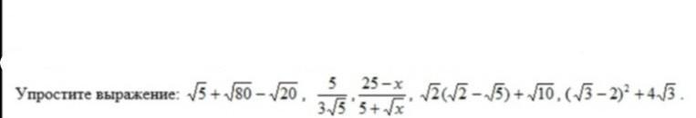
Решите одно задание по алгебре о ариметических квадратных корнях. Расписывайте решение. Прошу вас

Приложения:

Ответы

Ответ дал: MikeRex
1

Ответфото......

Писать старался понятно,что не понятно в комментарии пиши

Объяснение:

Приложения:

loYco: спасибо
Вас заинтересует