Ответы
Ответ дал:
0
Ответ:
первое 16/21 второе 140/28 третье 15/2
Ответ дал:
0
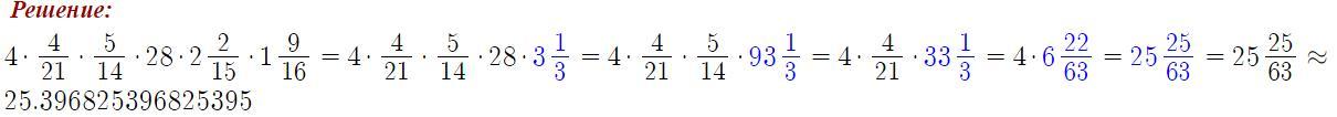
вот решение:
(в следующий раз пожалуйста можно попонятнее)
Приложения:

Вас заинтересует
2 года назад
3 года назад
3 года назад
8 лет назад
9 лет назад