• Предмет: Алгебра
  • Автор: DariaTo
  • Вопрос задан 8 лет назад

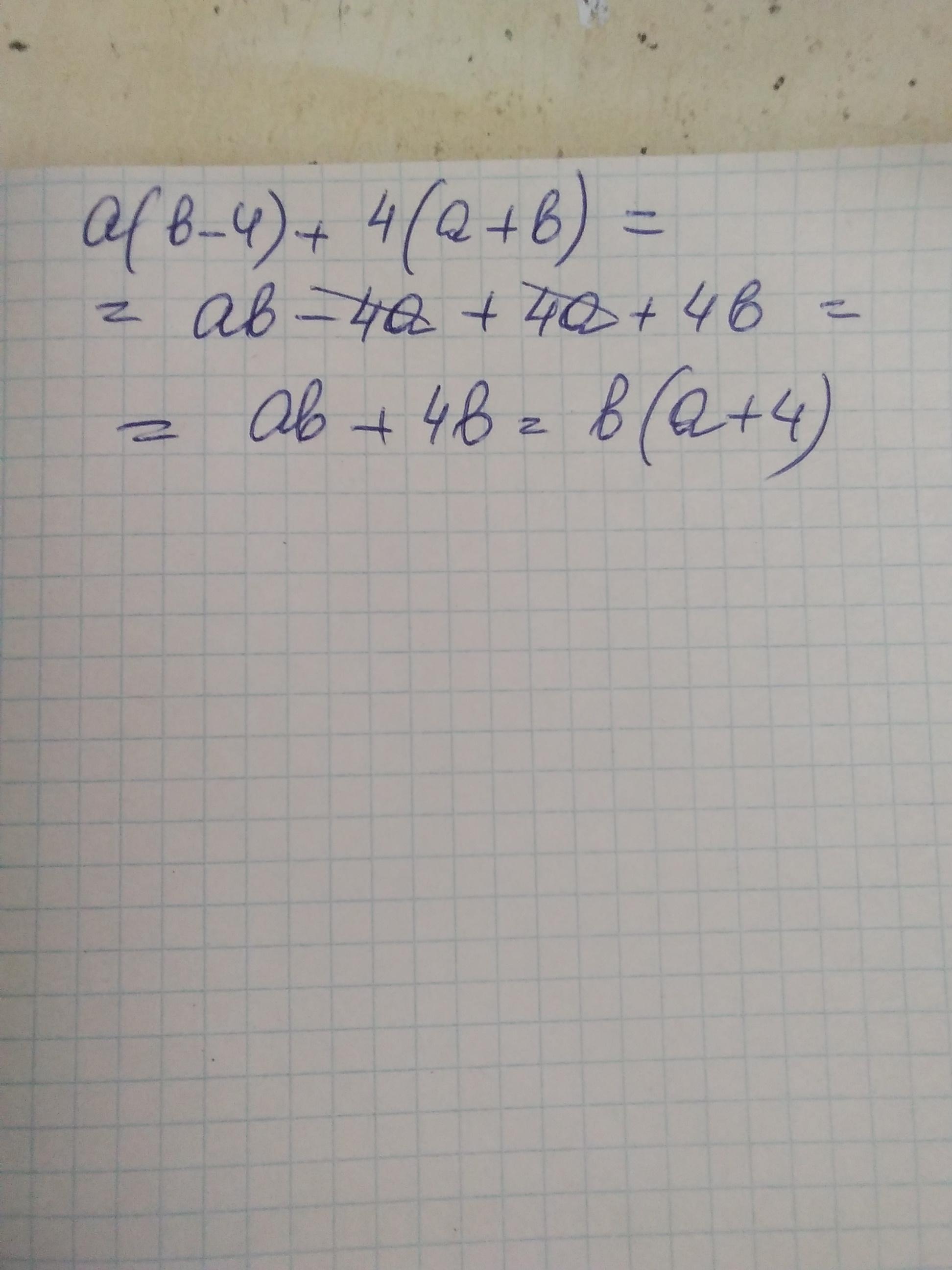
Докажите тождество: a(b-4)+4(a+b)=b(a+4)​

Ответы

Ответ дал: MizoriesKun
1

Смотри........................

Приложения:
Вас заинтересует