• Предмет: Математика
  • Автор: margaritautolina656
  • Вопрос задан 8 лет назад

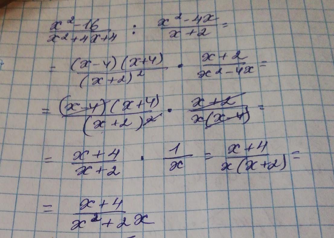
выполните деление:
х^2-16. х^2-4х
--------- : ------------
х^2+4х+4 х+2​


iphoroz19: непонятны действия, можно фото ?

Ответы

Ответ дал: larisaserova53
1

Ответ:

Смотри решение на фото ниже

Приложения:

margaritautolina656: спасибо, а можешь помочь ещё с двумя примерами?
larisaserova53: где они?
margaritautolina656: выполните умножение :

4х-у.
____: (16х^2-у^2)

выполните деление:
7у-49. у-7
_____ : ______
у^2+7у. у^2+14у+49
larisaserova53: я здесь не могу написать, у меня нет корня и стерпени
larisaserova53: степени
larisaserova53: выложи за 5 баллов задание и я решу
margaritautolina656: у меня оно выложено, ссылку кину
margaritautolina656: https://znanija.com/task/46118731?utm_source=android&utm_medium=share&utm_campaign=question
Вас заинтересует