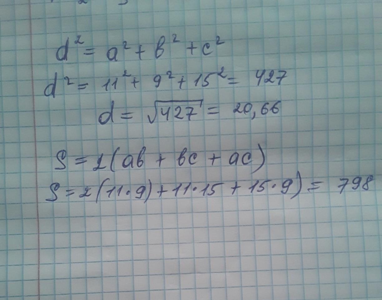
В прямоугольном параллелепипеде измерения равны 11, 9 и 15 м. Найти длину диагонали прямоугольного параллелепипеда и площадь полной поверхности.
Ответы
Ответ дал:
3
Объяснение:
вот и все правильно ответила
Приложения:

Вас заинтересует
2 года назад
2 года назад
3 года назад
8 лет назад
8 лет назад
9 лет назад