• Предмет: Алгебра
  • Автор: luvi6151
  • Вопрос задан 7 лет назад

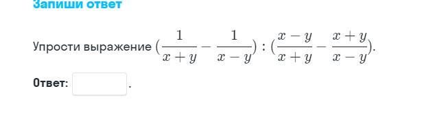
СРОЧНО!!!
ДАЮ 50 БАЛЛОВ

Приложения:

Ответы

Ответ дал: larisaserova53
0

Ответ:

Смотри решение на фото ниже

Приложения:

larisaserova53: Ответ посмотри и скажи подошел
luvi6151: подошел
luvi6151: огромное спасибо
larisaserova53: ну все тогда, отдыхаю))
Вас заинтересует