• Предмет: Алгебра
  • Автор: luvi6151
  • Вопрос задан 8 лет назад

ОООООООЧЕНЬ СРОЧНО!!!!!!
БУДУ МАКСИМАЛЬНО БЛАГОДАРЕН!!

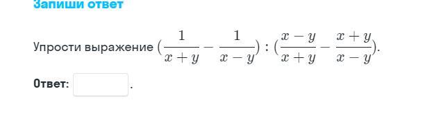
Приложения:

Ответы

Ответ дал: evgeniya1309
0

Объяснение:

если помогла отметь пожалуйста как лучший ответ

Приложения:
Вас заинтересует