• Предмет: Алгебра
  • Автор: batyralibekovich
  • Вопрос задан 8 лет назад

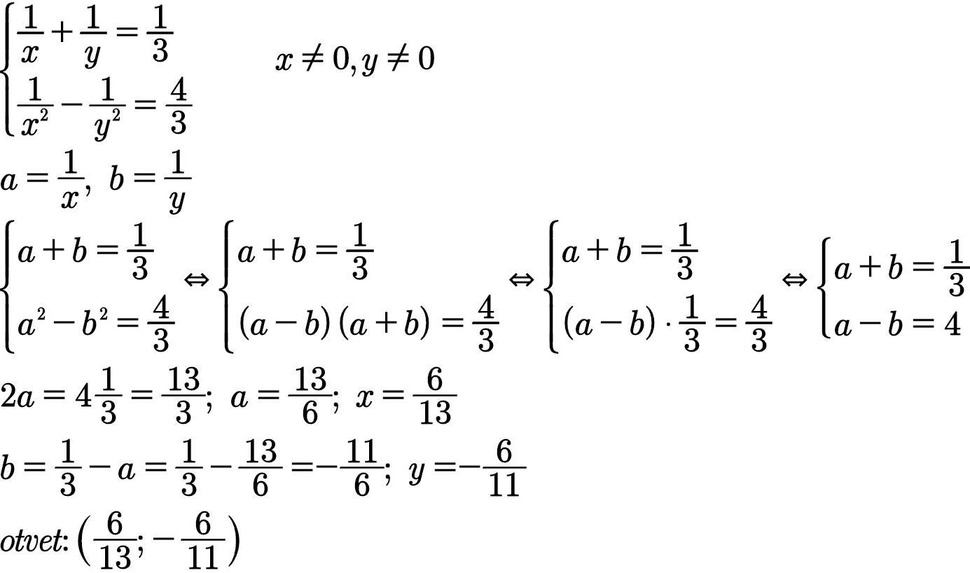
Решите систему уравнений
Сроооочнооо 30 баллов

Приложения:

Ответы

Ответ дал: tamarabernukho
3

Ответ:

(6/13;-6/11)

Объяснение:

..............................

Приложения:

Аноним: Здравствуйте вы не могли бы вы мне помочь с алгеброй пожалуйста умоляю
Вас заинтересует