• Предмет: Алгебра
  • Автор: bbxbzhuzsyywuwy
  • Вопрос задан 8 лет назад

Найти площадь фигуры ограниченной линиями y=-x^2+4
Y=0

Ответы

Ответ дал: NNNLLL54
0

Ответ:

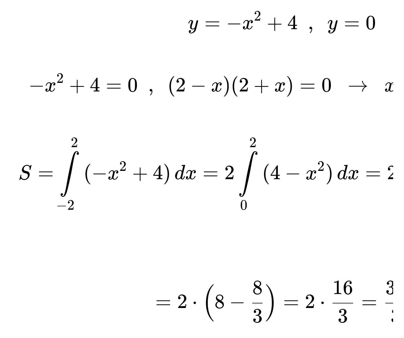
\displaystyle y=-x^2+4\ \ ,\ \ y=0\\\\-x^2+4=0\ \ ,\ \ (2-x)(2+x)=0\ \ \to \ \ x_1=-2\ ,\ x_2=2\\\\S=\int\limits^2_{-2}\, (-x^2+4)\, dx=2\int\limits_0^2\, (4-x^2)\, dx=2\cdot \Big(4x-\frac{x^3}{3}\Big)\Big|_0^2=\\\\\\=2\cdot \Big(8-\frac{8}{3}\Big)=2\cdot \frac{16}{3}=\frac{32}{3}

Приложения:
Ответ дал: ixtik991
0

Ответ:

jfh Josh will be there in about the new one you have

Приложения:
Вас заинтересует