Найди область определения выражения f(v)=

Выбери правильный вариант ответа:
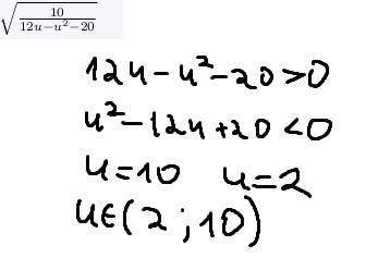
2≤v≤10
v<2,v>10
2<v<10
v≤2,v≥10
milyaushagindullina3:
какой из 4 вариантов ответ, кстати спасибо за объяснение
Ответы
Ответ дал:
1
Ответ:
Объяснение:
вот и все
2<v<10
Приложения:

Ответ дал:
1
+ + + + + (2) - - - - - (10) + + + + +
///////////
Вас заинтересует
2 года назад
3 года назад
3 года назад