• Предмет: Математика
  • Автор: vokooplvlvdadaaookok
  • Вопрос задан 8 лет назад

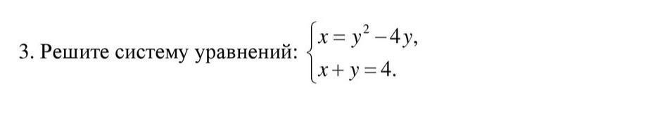
решите систему уравнений:​

Приложения:

Ответы

Ответ дал: am1772179
1

Ответ:

(0;4) , (5;-1)

Пошаговое объяснение:

x = y²-4y

y²-4y+y = 4

решим второе уравнение:

y²-3y-4 = 0

y = 4 или y = -1

подставим в первое:

x = y²-4y

x = 4²-4*4 = 0 или x = (-1)²-4*(-1) = 1+4 = 5

таким образом, получим пары чисел: (0;4) и (5;-1)

Вас заинтересует