• Предмет: Алгебра
  • Автор: jfigfhfiguf
  • Вопрос задан 8 лет назад

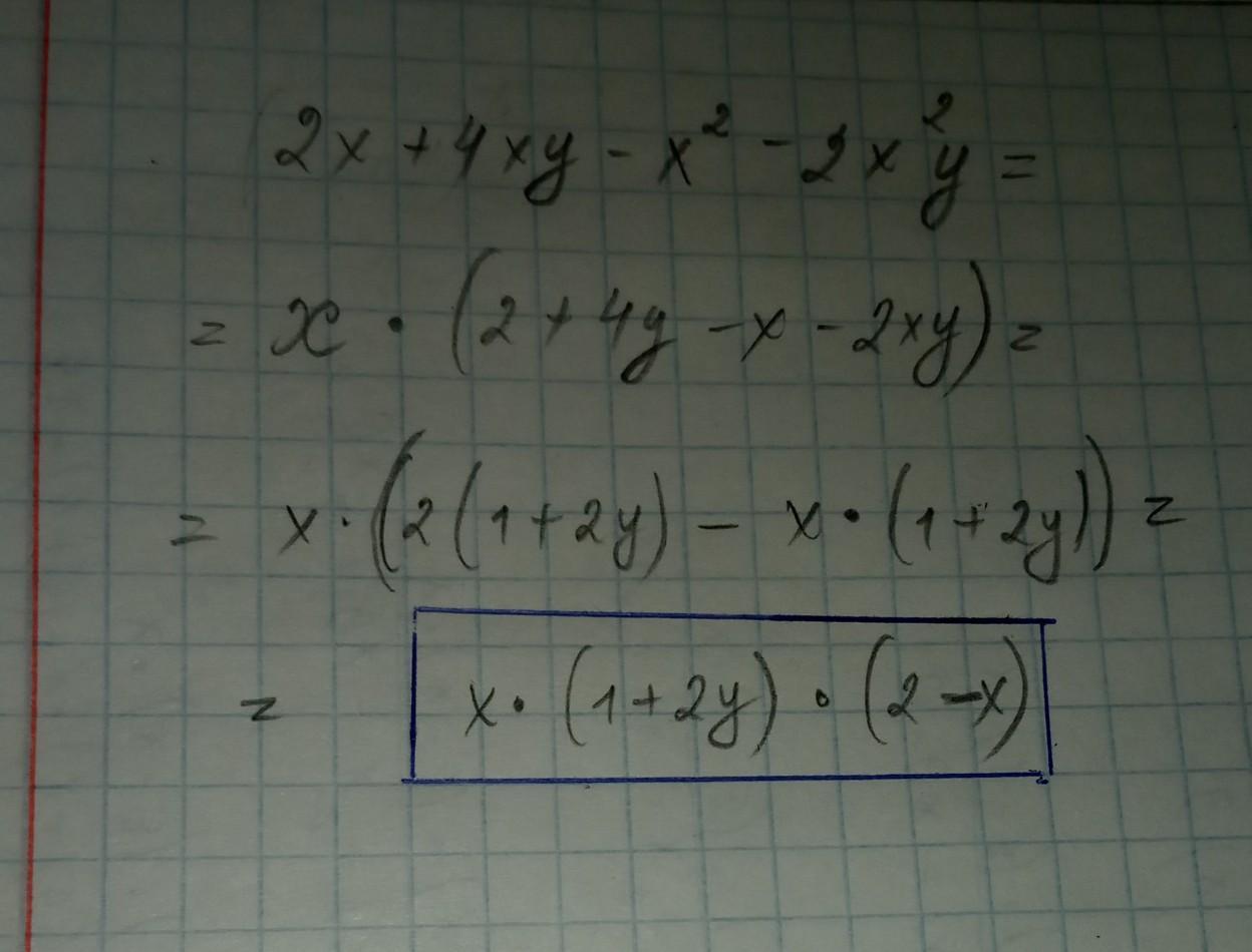
разложите на множители
2x+4xy-x^2-2x^2y
С полным решением, пожалуйста

Ответы

Ответ дал: Аноним
1

на фото............

ответ: x×(1+2y)×(2-x)

Приложения:
Вас заинтересует