• Предмет: Алгебра
  • Автор: raleksandrovic619
  • Вопрос задан 8 лет назад

Найти значения:
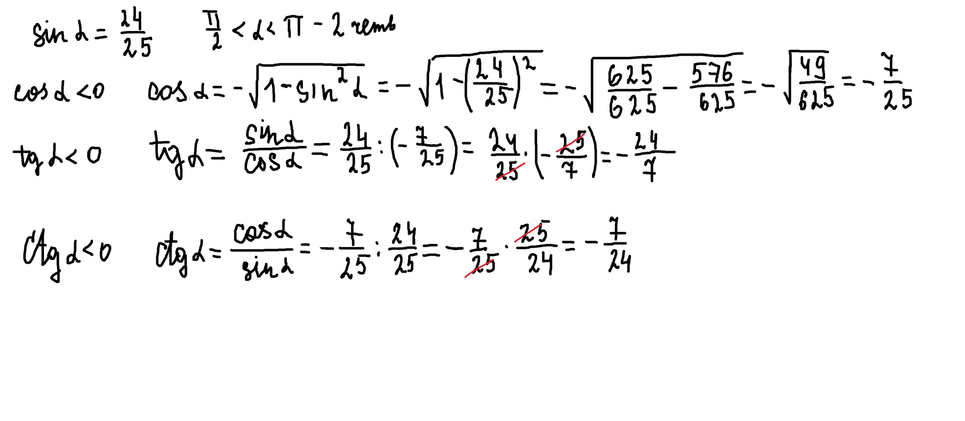
cos a, tg a, ctg a, если Sin a= 24/25, П/2<a<П



Ответы

Ответ дал: parus77
1

Ответ:

Объяснение:

т.к угол α лежит во 2 четверти,то тогда

cos a<0   ; tg a< 0;    ctg a< 0

Приложения:
Вас заинтересует