• Предмет: Математика
  • Автор: poooowoeieijwb
  • Вопрос задан 8 лет назад

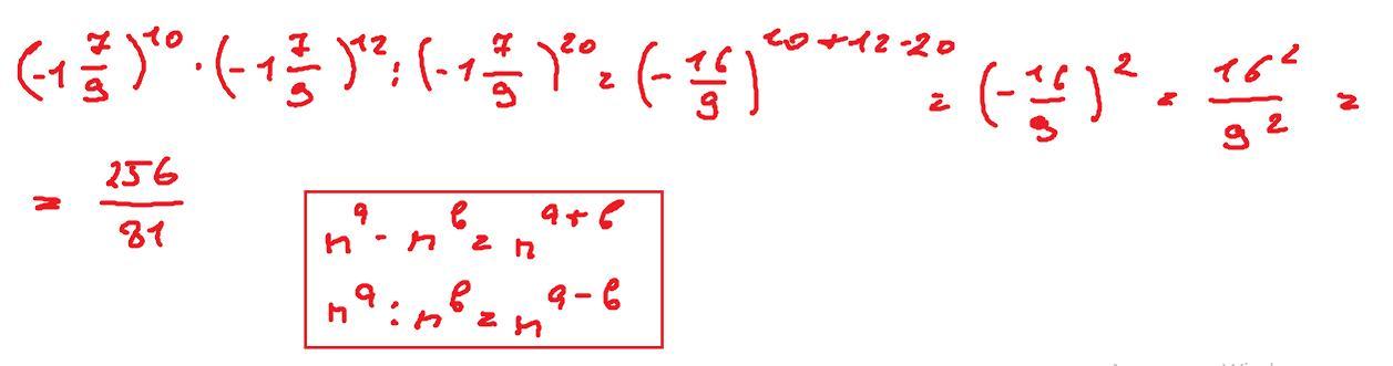
срочно пожалуйста ,что бы было расписано

Приложения:

Ответы

Ответ дал: skala
1

Ответ:

Фото

Пошаговое объяснение:

Приложения:
Вас заинтересует