• Предмет: Алгебра
  • Автор: cjcjcj45645
  • Вопрос задан 7 лет назад

ПОМОГИТЕ СРОЧНО ДАЮ 50 БАЛЛОВ

Приложения:

Ответы

Ответ дал: table123
0

Ответ:

Объяснение:

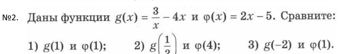
1)  g(1)=3/1-4*1=-1,  f(1)=2*1-5=-3   g(1)>f(1)

2)  g(1/2)=3:1/2-4*1/2=6-8=-2,  f(4)=2*4-5=3,  g(1/2)<f(4)

3)  g(-2)=3/2-4*2=-6,5,  f(1)=-3,   g(-2)<f(1)

Вас заинтересует