• Предмет: Геометрия
  • Автор: rabiakeldibaj039
  • Вопрос задан 8 лет назад

равнобедренной трапеции Боковая сторона равна 8 см а средняя линия 10 см Найдите периметр трапеции​

Ответы

Ответ дал: Пеппер
2

Ответ:

36 см

Объяснение:

Средняя линия трапеции равна полусумме оснований.

10*2=20 см (сумма оснований.

Р=20+8+8=36 см

Ответ дал: medi030717xm
1

Ответ:

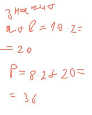
36

на рисунке решение

.............

Приложения:
Вас заинтересует