• Предмет: Математика
  • Автор: nikkhvan2010
  • Вопрос задан 8 лет назад

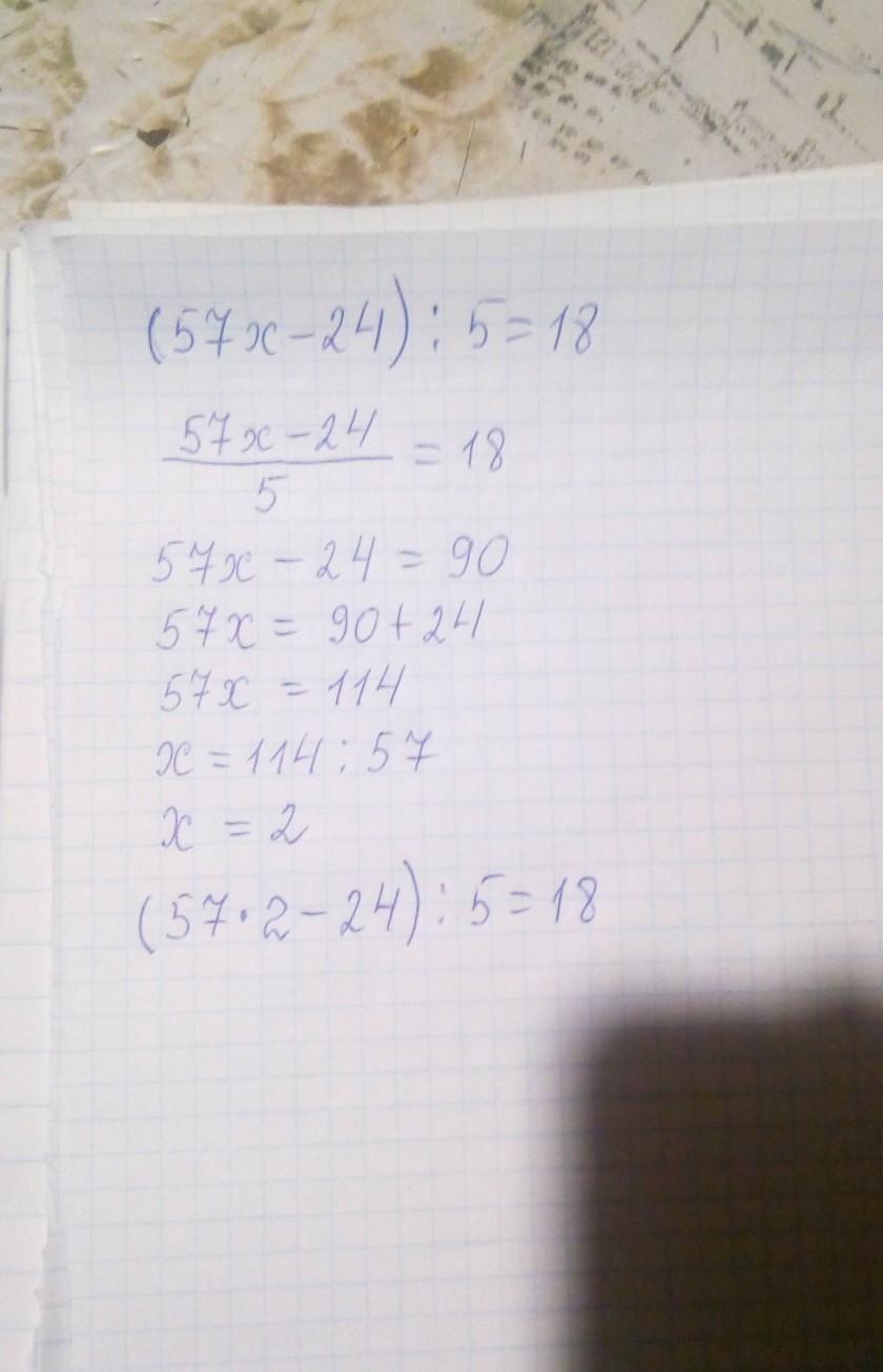
(57x- 24)÷5=18 с проверкой

Ответы

Ответ дал: Elena3982
0

Ответ:

.

Пошаговое объяснение:

Вот тебе правильный ответ с проверкой.

Приложения:
Вас заинтересует