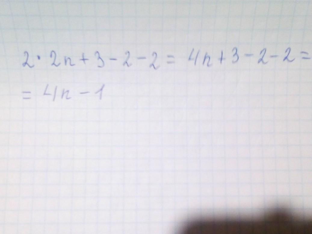
Дано выражение: 2(c + 3) - (d - 2) . а) Раскройте скобки и приведите подобные слагаемые. b) Найдите значение выражения при c = 2n d = 2 .
Ответы
Ответ дал:
4
Ответ:
.
Пошаговое объяснение:
Я не уверена,но вроде так.Пусть ещё кто-то решит и посмотрим на другой ответ.
Приложения:

Вас заинтересует
2 года назад
3 года назад
8 лет назад
8 лет назад