З висоти 20м над поверхнею землі кинули кульку зі швидкістю 10мс у горизонтальному напрямі. На якій висоті над землею буде кулька через 1с? за який час вона впаде? Визначте дальність польоту
Ответы
Ответ дал:
1
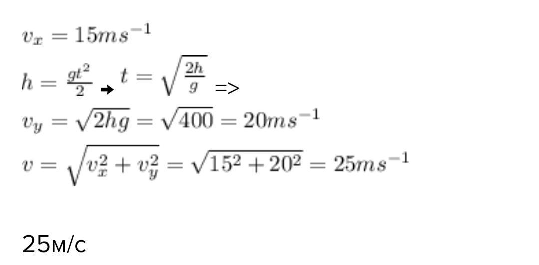
Смотрите на рисунке.
Надеюсь что помогла....
Приложения:

Вас заинтересует
2 года назад
3 года назад
8 лет назад
8 лет назад
9 лет назад