• Предмет: Алгебра
  • Автор: jofaropkil
  • Вопрос задан 8 лет назад

освободиться от иррациональности в знаменателе.
1)7/√b-√a
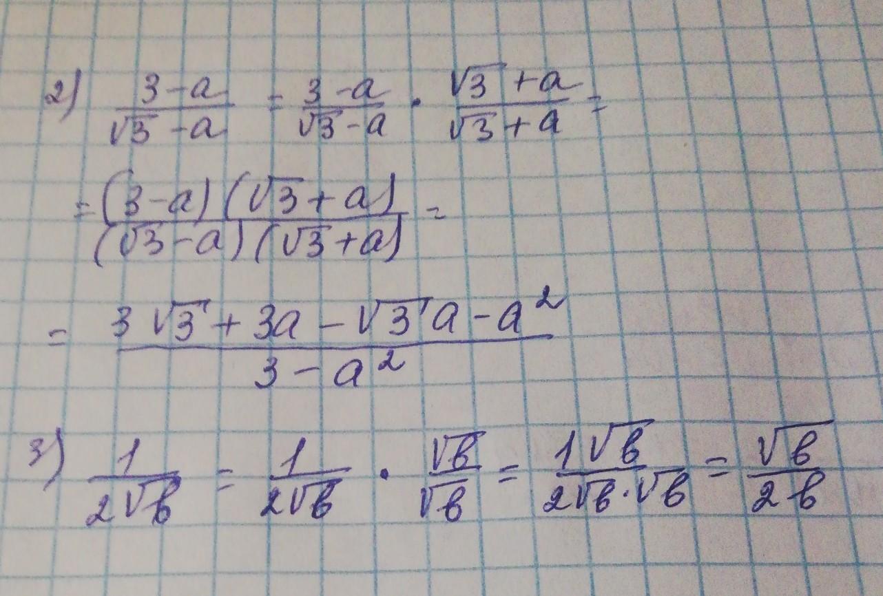
2)3-a/√3-a
3)1/2√b
Если что /-дробь

Ответы

Ответ дал: larisaserova53
1

Ответ:

Смотри решение на фото ниже

Приложения:

larisaserova53: 2)примпр в знаменателе под корнем все выражение или только корень из 3?
jofaropkil: только корень из 3
larisaserova53: Посмотрите примеры все правильно записаны, я правильно поняла?
larisaserova53: побыстрее, а то не смогу исправить!!
jofaropkil: да
larisaserova53: ну все тогда!
jofaropkil: спасибо тебе
Ответ дал: Universalka
1

1) \ \dfrac{7}{\sqrt{b}-\sqrt{a}} =\dfrac{7\cdot(\sqrt{b}+\sqrt{a} ) }{(\sqrt{b} -\sqrt{a})(\sqrt{b}+\sqrt{a} )} =\dfrac{7\cdot(\sqrt{b}+\sqrt{a} ) }{(\sqrt{b})^{2}  -(\sqrt{a})^{2} } =\\\\\\=\boxed{\dfrac{7(\sqrt{b} +\sqrt{a}) }{b-a} }\\\\\\2) \ \dfrac{3-a}{\sqrt{3} -a} = \dfrac{(3-a)\cdot(\sqrt{3} +a)}{(\sqrt{3} -a)\cdot(\sqrt{3}+a) } =\dfrac{(3-a)\cdot(\sqrt{3} +a)}{(\sqrt{3})^{2}  -a^{2} } =\\\\\\=\boxed{\dfrac{(3-a)(\sqrt{3} +a)}{3-a^{2} }}

3) \ \dfrac{1}{2\sqrt{b} } =\dfrac{1\cdot\sqrt{b} }{2\sqrt{b} \cdot\sqrt{b} } =\boxed{\dfrac{\sqrt{b} }{2b} }

Вас заинтересует