• Предмет: Математика
  • Автор: 121212121314
  • Вопрос задан 7 лет назад

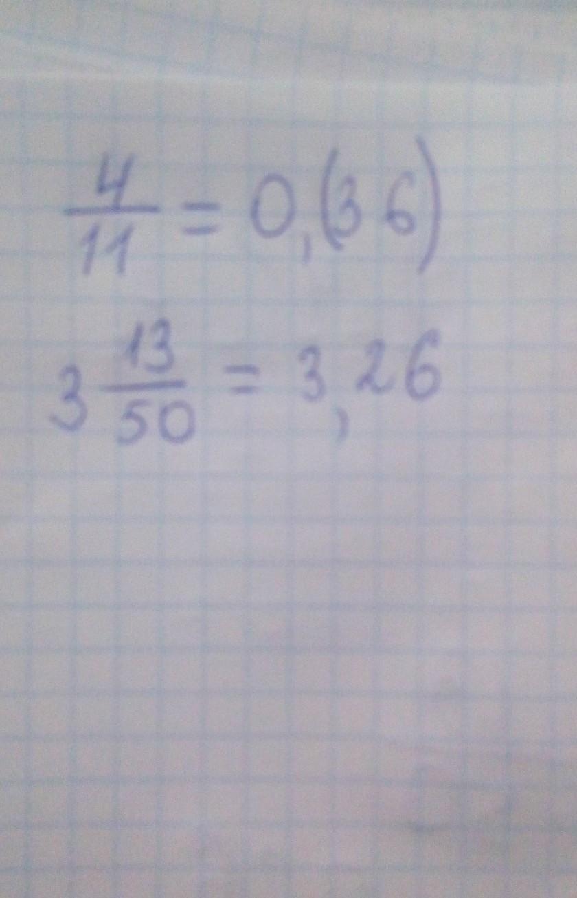
перетвори десятковий дріб у разі одержання нескінченного дробу ділення припинити після визначення періоду 4/11 ; 3 13/50!! 15 баллов срочно пожалуйста!! могу и двадцать !

Приложения:

Ответы

Ответ дал: Elena3982
0

Ответ:

.

Пошаговое объяснение:

Можешь переписывать.Это правильно.

Приложения:

121212121314: можно пожалуйста пошаговое решение, как у вас получилось 0,36?
Elena3982: Там будет 0,363636....и так дальше,а это пишут 0,(36)
121212121314: на что вы поделили что получилось 0,363636..?
121212121314: большое вам спасибо, вы очень меня выручили правда
Elena3982: 4:11=0,36363636.....
Elena3982: Пожалуйста.
Elena3982: Запам'ятай, щоб отримати відповідь треба чисельник поділити на знаменник.
Вас заинтересует