• Предмет: Математика
  • Автор: mikitenkoallo201655
  • Вопрос задан 8 лет назад

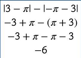
|3-π|-|-π-3| обчислить

Ответы

Ответ дал: Kestrel07
0

Ответ:

-6

Пошаговое объяснение:

Модуль - число не отрицательное, следовательно:

Приложения:
Вас заинтересует