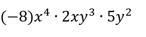
1) Дан одночлен
а) приведите одночлен к стандартному виду
б) укажите его коэффициент
в) укажите степень одночлена
Приложения:

Ответы
Ответ дал:
1
Ответ:
Пошаговое объяснение:
= -8*2*5 * х⁴*х * у³*у² =
-80 * х^5 * у^5 =
-80х^5 у^5
Коэффициент = -80
Степень = (5+5) = 10
Вас заинтересует
2 года назад
3 года назад
3 года назад
8 лет назад
8 лет назад
9 лет назад