• Предмет: Математика
  • Автор: rauanpapa2008
  • Вопрос задан 8 лет назад

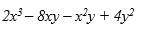
4) Разложите многочлен на множители:

Приложения:

Ответы

Ответ дал: Аноним
0

...........................

Приложения:
Вас заинтересует