• Предмет: Математика
  • Автор: rauanpapa2008
  • Вопрос задан 7 лет назад

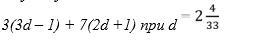
Упростите выражение и найдите его значение:

Приложения:

Ответы

Ответ дал: Аноним
0

Ответ:9d-3+14d+7=23d+4

23•70/33+4=1610/33 +4

Вас заинтересует