• Предмет: Алгебра
  • Автор: paketik62
  • Вопрос задан 7 лет назад

Toждественные преобразования выражений. Урок 1

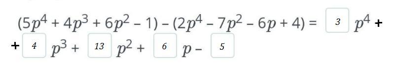
Выполни вычитание многочленов и заполни

пропуски.

(5p4 + 4p3 + 6p2 - 1) - (2p4 -7p² - 6p + 4) =

+

p2+ p- о р

Проверить

24+

Ответы

Ответ дал: NNNLLL54
1

Ответ ..............................................................................

Приложения:

vitafanlove: спасибо
Вас заинтересует