какое количество теплоты выделяется при кристалищации и озлаждении до температуры t = 17°C свинца массой m = 100 г, находящегося притемпературе плавления? ( удельная теплоёмкость свинца c = 1.2 × 10² Дж/кг ×°C, темпиратура плавления свинца tпл. = 327°C, удельная теплота плавления свинца Лямда = 2.47 × 10⁴ Дж/кг)
Ответы
Ответ дал:
1
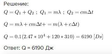
Дано: t = 17 °C, m = 0.1 кг, t₀ = 327 °С
Найти: Q - ?
Ответ : 6190 Дж
Приложения:

Вас заинтересует
2 года назад
2 года назад
3 года назад
3 года назад
8 лет назад
8 лет назад
9 лет назад
9 лет назад