• Предмет: Физика
  • Автор: annakirienko943
  • Вопрос задан 8 лет назад

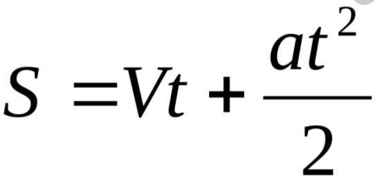
Проекція швидкості тіла задана рівнянням Vx=10+0,3t. Запишіть формулу для проекції переміщення і знайти швидкість в кінці десятої секунди руху.

Ответы

Ответ дал: alexstukaloalex
2

Ответ:

Начальная скорость - 10.

Ускорение - 0,3.

Подставь в формулу перемещения

Получишь S=10t +0,3tt/2=1010+0.3*100/2=115(м)

Приложения:
Вас заинтересует