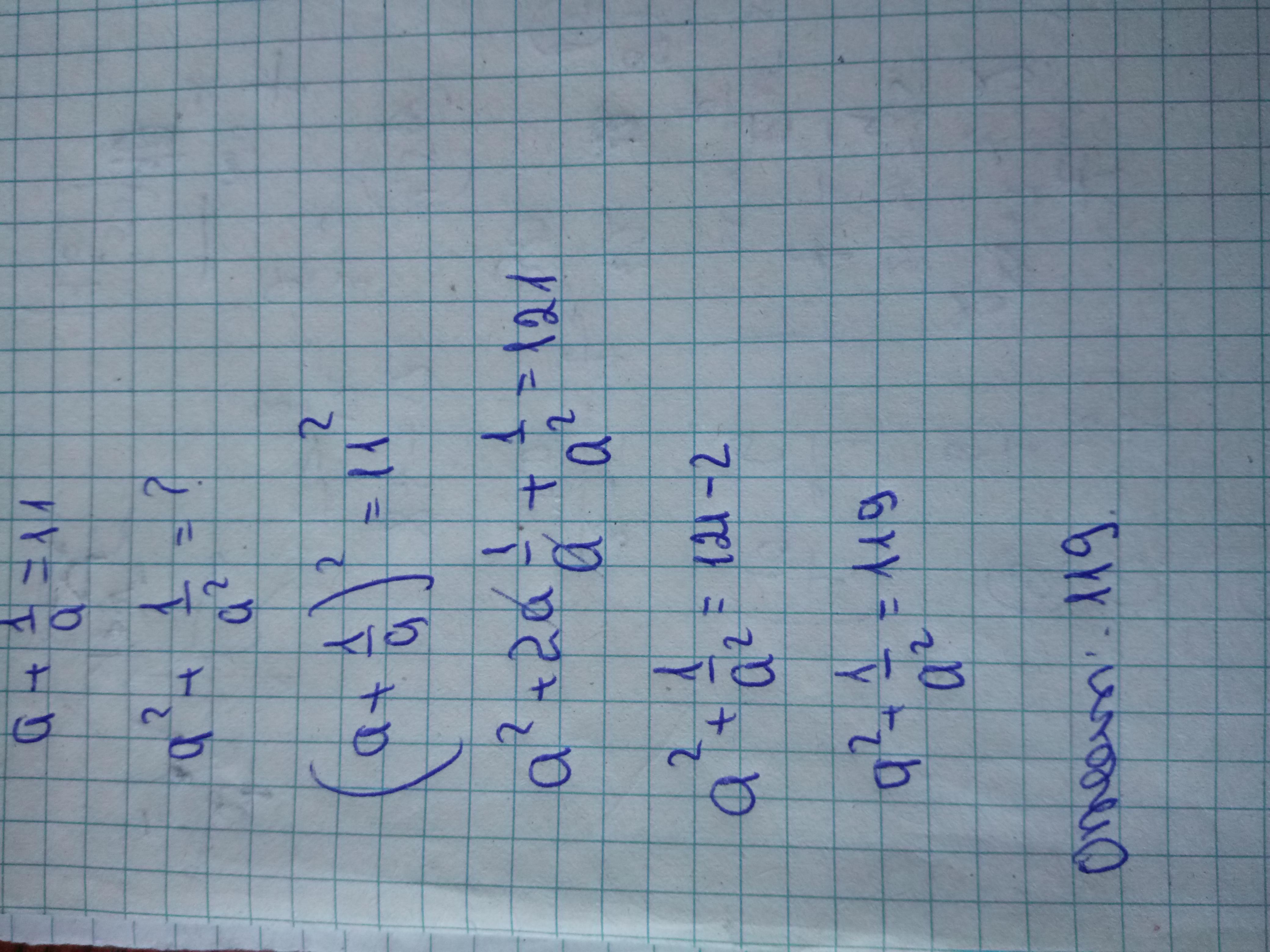
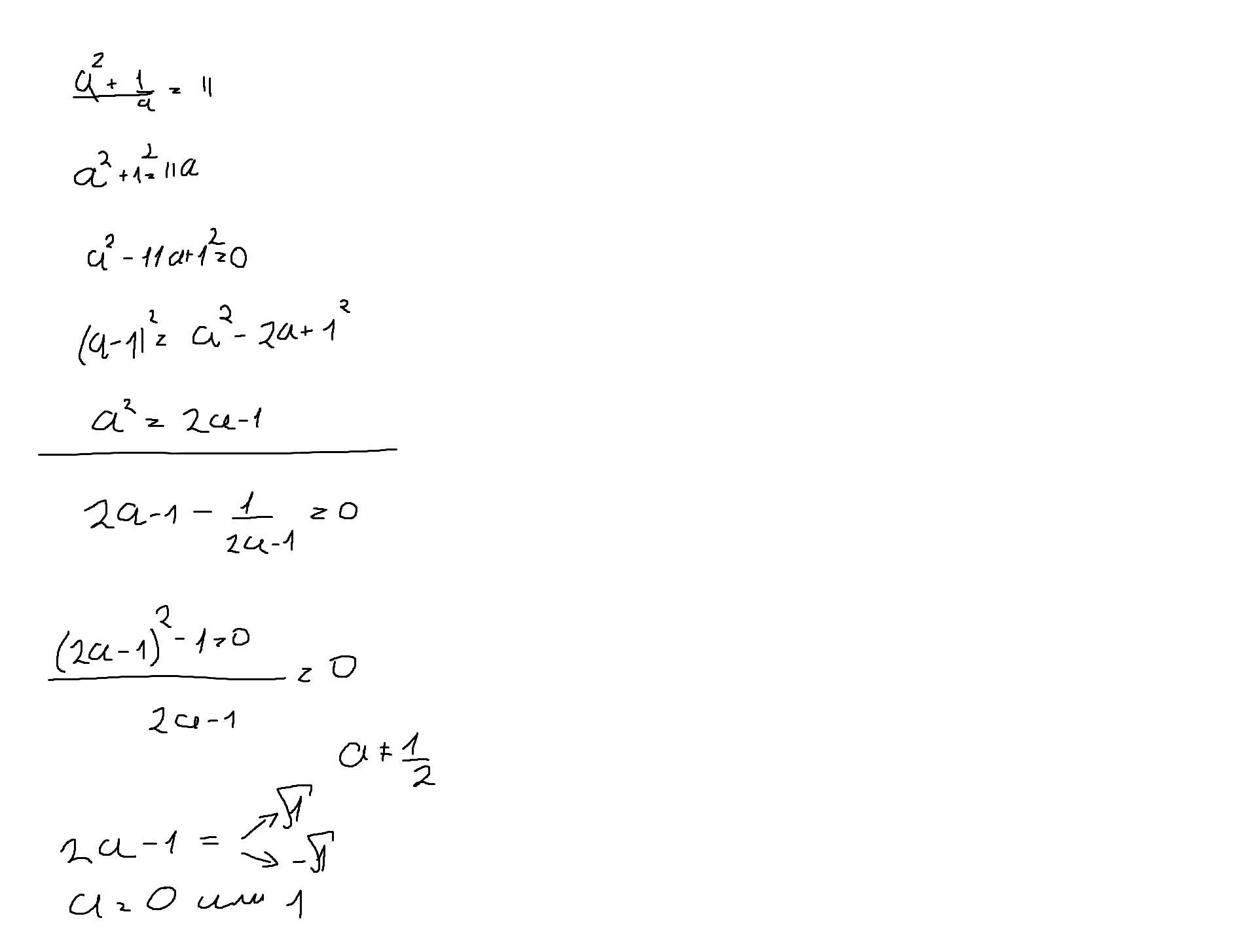
СРОЧНО!! ДАЮ 60 БАЛЛОВ!! Число а такого, что а + 1/а = 11. Чему может быть равно выражение: а^2 + 1/а^2?
Ответы
Ответ дал:
1
Відповідь: 119
Покрокове пояснення:
Приложения:

kosunovaasstep:
спасибо!!
Ответ дал:
0
Ответ:
Пошаговое объяснение:
Приложения:

Вас заинтересует
2 года назад
2 года назад
3 года назад
8 лет назад
9 лет назад