Ответы
Ответ дал:
1
Объяснение:
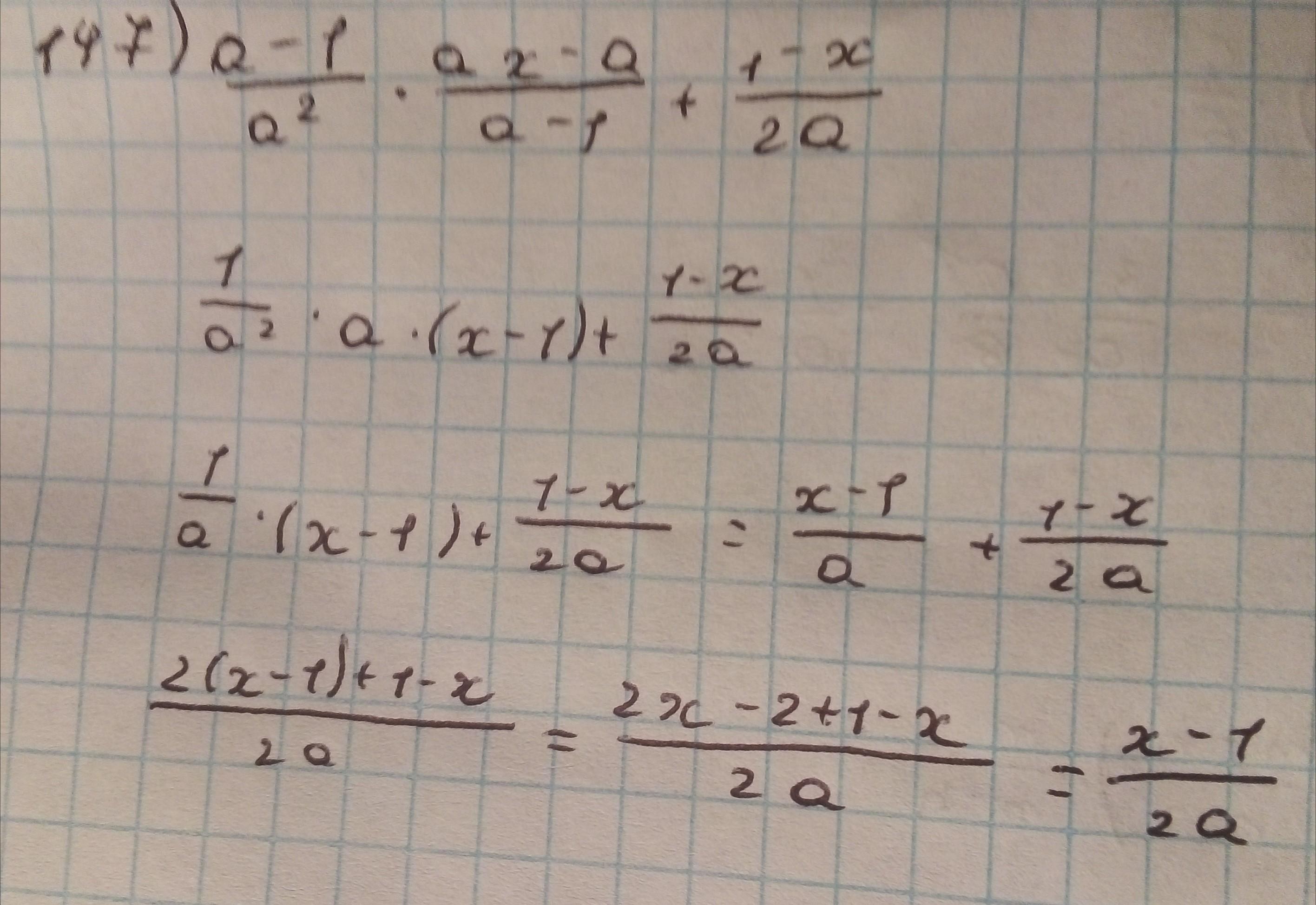
Если что переверни изображение, а то всё не поместилось. И если не сложно отметь мой ответ как лучший, спасибо заранее.
Приложения:


rimmakivnuk:
спасибо большое! ❤️
Ответ дал:
1
Решение на фотографии
Приложения:

Вас заинтересует
2 года назад
2 года назад
3 года назад
3 года назад
8 лет назад
9 лет назад