• Предмет: Алгебра
  • Автор: zarabotok123123
  • Вопрос задан 8 лет назад

Решите пожалуйста 100 балов срочно!

Приложения:

dm1502: Прикрепи, пожалуйста, твое задание

Ответы

Ответ дал: Universalka
1

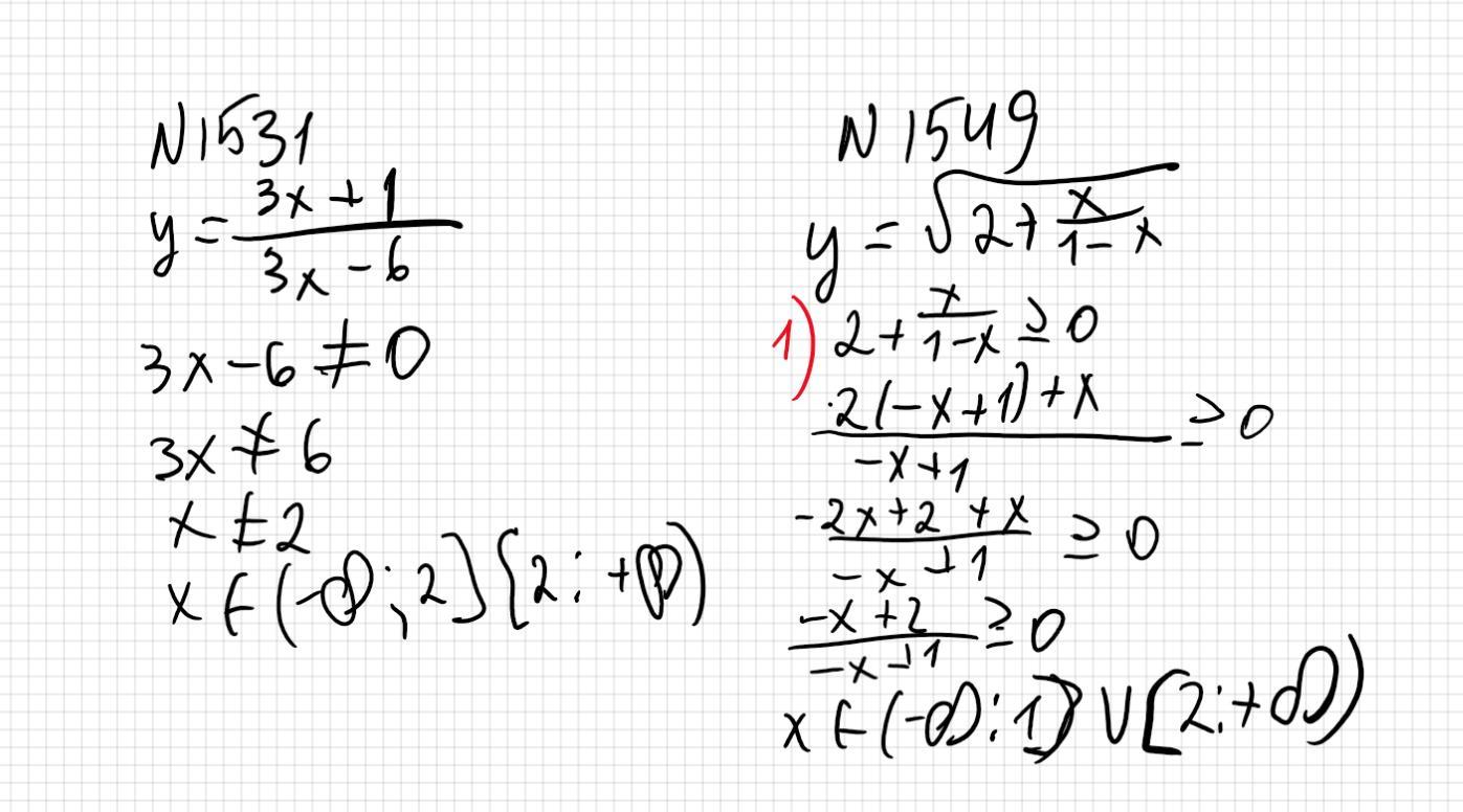
1531) \ y=\dfrac{3x+1}{3x-6} \\\\\\3x-6\neq 0\\\\3x\neq 6\\\\x\neq 2\\\\Otvet:\boxed{x\in(-\infty \ ; \ 2) \ \cup \ (2 \ ; \ +\infty)}

1540) \ y=\sqrt{2+\dfrac{x}{1-x} } \\\\2+\dfrac{x}{1-x} \geq 0 \ ; \ x\neq 1\\\\\\\dfrac{2-2x+x}{1-x} \geq 0\\\\\\\dfrac{x-2}{x-1} \geq 0

+ + + + + (1) - - - - - [2] + + + + +

/////////////               ////////////////

Otvet:\boxed{x\in\Big(-\infty \ ; \ 1\Big) \cup \ \Big[2 \ ; \ +\infty\Big)}

Ответ дал: dm1502
0

Ответ:

прикрепил

Объяснение:

Приложения:
Вас заинтересует