• Предмет: Математика
  • Автор: magzumovamira0
  • Вопрос задан 7 лет назад

Решите плис математика 52 баллов!!!!!

Приложения:

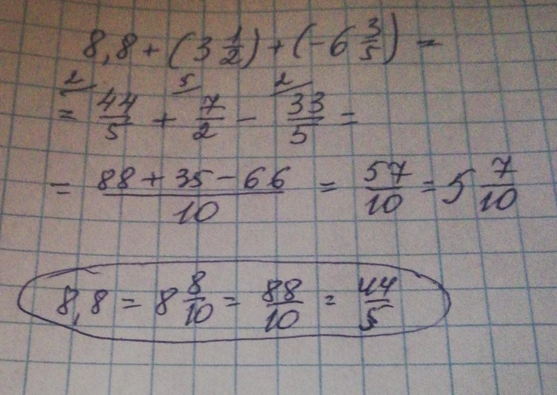
jekadva: = 8,8 + 3,5 - 6,6 = 5,7

Ответы

Ответ дал: larisaserova53
2

Ответ:

Смотри решение на фото ниже

Приложения:

larisaserova53: То, что в кружочке не пиши, это я для тебя перевела десятичную дробь в неправильную
magzumovamira0: спасибо
Ответ дал: amogus787
2

Решил, не за что. очень легко

Приложения:

magzumovamira0: спасибо
Вас заинтересует