• Предмет: Математика
  • Автор: rauanpapa2008
  • Вопрос задан 8 лет назад

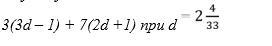
5) Упростите выражение и найдите его значение:

Приложения:

Ответы

Ответ дал: jekadva
0

Ответ:

Пошаговое объяснение:

= 9d - 3 + 14d + 7 = 23d + 4

при d= 2 4/33

23d + 4 = 23 * 2 4/33 + 4 = 23 * 70/33 + 4 = 1610/33 + 4 = 48 26/33 + 4 = 52 26/33

Вас заинтересует