• Предмет: Математика
  • Автор: Аноним
  • Вопрос задан 8 лет назад

помогите срочно пожалуйста!! 50 баллов

Приложения:

Ответы

Ответ дал: ilyarocket124
1

Ответ:

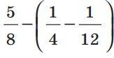
1) 1/4-1/12=3/12-1/12=2/12=1/6

2) 5/8-1/6=15/24-4/24=11/24


ilyarocket124: Эм, а почему 3,7?
ilyarocket124: Всё правильно так-то
ilyarocket124: О, ответ экспертом проверен.
ilyarocket124: Можешь отметить, как лучший ответ?
Вас заинтересует