Мне нужен ответ
По моему мнению 5/3?
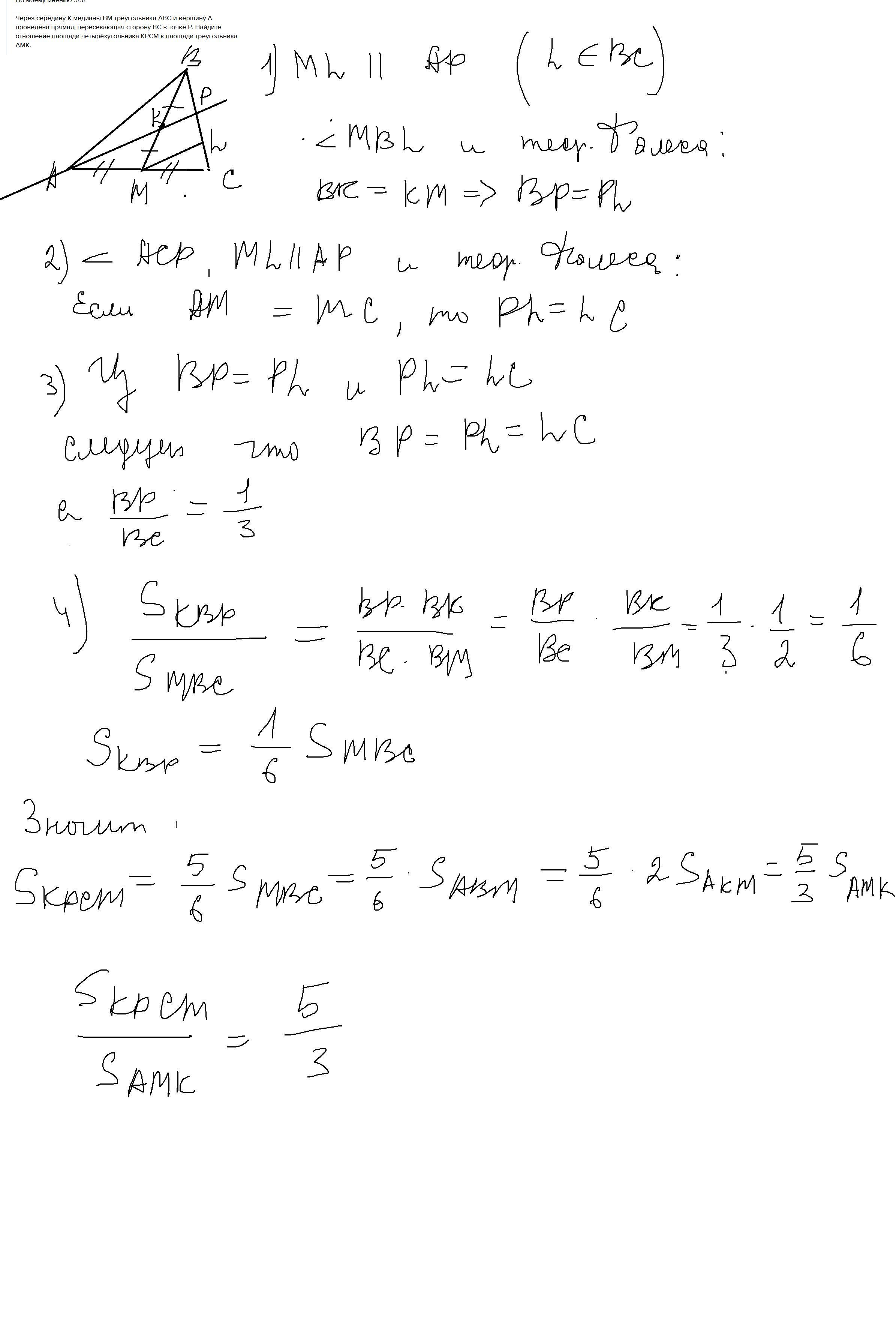
Через середину K медианы BM треугольника ABC и вершину A проведена прямая, пересекающая сторону BC в точке P. Найдите отношение площади четырёхугольника KPCM к площади треугольника AMK.
Ответы
Ответ дал:
1
Ответ:
Объяснение:Можно через теорему Менелая(вместо Фалеса) или признака средней линии тр-ка (и определения)
Приложения:


pronya1399:
Мои догадки были верны ^^
Вас заинтересует
2 года назад
2 года назад
3 года назад
8 лет назад
8 лет назад
9 лет назад
9 лет назад