Ответы
Ответ дал:
2
Ответ:
Пошаговое объяснение:
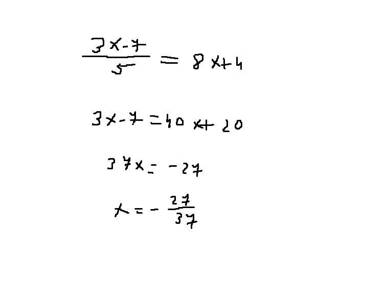
5(8х + 4) = 3х - 7
40х + 20 = 3х - 7
40х - 3х = -7 - 20
37х = -27
х = -27 : (37)
х = -27/37
novruzovafatime270:
спасибо
Ответ дал:
1
Ответ: x= -27/37
Пошаговое объяснение:
Приложения:

Вас заинтересует
2 года назад
3 года назад
3 года назад
8 лет назад
8 лет назад
9 лет назад
9 лет назад